Macrocyclic small molecules, a class of compounds with ring structures typically containing 12 or more atoms, have emerged as a captivating area of interest and have attracted significant attention in drug discovery over the past decade. Drawing inspiration from complex and biologically active cyclic natural products, macrocyclization of bioactive small molecules has been demonstrated to significantly enhance their pharmacological potential byincreasing their potency, target selectivity, and other biological and physiochemical properties. These benefits stem from the unique three-dimensional arrangement and constrained conformation that macrocycles can adopt, enabling them to interact more effectively with their biological targets and often results in a higher binding affinity and improved therapeutic efficacy. Additionally, due to the different conformations of macrocycles, which can mask or release certain functionality, they can exhibit improved cell permeability and oral absorption compared with acyclic molecules with similar hydrogen bond donor/acceptors counts, and molecular weight. Furthermore (semi)peptidomimetic macrocycles are capable of tackling, previously deemed, “undruggable” biological targets.[1][2][3]
Methods for macrocyclization
Macrocyclization of acyclic precursor molecules is theoretically feasible under a variety of chemical coupling conditions. However, the successful execution of this reaction is greatly dependent on several crucial factors, including, the desired ring size and the linker composition connecting the reactive functional groups, which consequently influences theorientation of these reactive handles and their ability to form a macrocycle.
At Symeres, we have developed a synthetic toolbox, focusing on the most strained classes of medium-sized rings and macrocycles (9–16 membered),which comprises of optimized reaction conditions for several different ring sizes and linker geometries.
Chemical diversity in macrocycles
For larger macrocyclic molecules, another challenge lies less in the cyclization itself, but rather in their lengthy synthetic routes and the extensive effort it takes to introduce molecular diversity. At Symeres, we have extensive experience with such projects, in which a modular approach allows for the generation of large sets of chemically diverse fragments that can rapidly be assembled – in a parallel fashion – into the corresponding macrocycles.
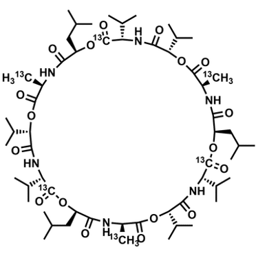
A relevant example of a large synthesized macrocyclic molecule is Cereulide[4], a toxin produced by some strains of Bacillus cereus. It has been synthesized with six 13C-labels[5] at Symeres and is offered for sale by Chiralix[6].

Structural analyses of macrocycle conformations
It is well established that conformational preference and the stability of macrocycles are essential for their potency. We have found that including both solution-phase and solid-state structural information at an early stage in medicinal chemistry projects helps to focus compound design, and thereby, speeds up the optimization process.


Contact us via the form below for more information about our capabilities.
[1] J. Mallinson et al., Bioorg. Med. Chem. 2012, 20 , 1409 DOI: https://doi.org/10.4155/fmc.12.93
[2] J.A. Amrhein et al., J. Med. Chem. 2021, 64 , 7991 DOI: https://doi.org/10.1021/acs.jmedchem.1c00217
[3] P.G. Dougherty et al., Biochem. J 2017, 64 , 474, 1109 DOI: https://doi.org/10.1042/BCJ20160619